SUMMARY OF EQUATIONS
Back to explanation
SI units in brackets where applicable
Relevant constants also included
Vector notation conversion
i = x direction component (vectors can be used for distance, velocity, acceleration, etc - use correct units)
j = y direction component
g = angle
|v| = magnitude of velocity (note, the |x| notation can be used for the magnitude of any vector)
Direction/magnitude to component:
i = |v| sin g
j = |v| cos g
Component to direction/magnitude:
|v| = SQRT(i^2 + j^2)
g = arctan (i/j)
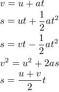
SUVAT equations of motion
s = distance (metres, m)
u = initial velocity (metres per second, ms^-1)
v = final velocity (metres per second, ms^-1)
a = acceleration (metres per second squared, ms^-2)
t = time (seconds, s)

Copyable text:
v = u + at
s = ut + (1/2)(a)(t^2)
s = vt - (1/2)(a)(t^2)
v^2 = u^2 + 2as
s = ((u + v)/2)t
Force/mass/momentum
f = force (Newtons, N)
m = invariant or basic mass (kilograms, kg)
M = "relativistic" mass (kilograms, kg) (note that this and subsequent equations using it aren't really technically correct, but make a simple approximation if you're not trying to be too rigorous)
a = acceleration
v = velocity
p = momentum (kilogram metres per second, kgms^-1)
c = speed of light, 3e8 ms^-1
γ = c / (SQRT (c^2 - |v|^2))
M = γm
f = Ma
p = Mv
Circular Motion, Gravity and Orbits
G = Gravitational constant, 6.67e-11 N m^2 kg^-2 (don't worry about the units)
F = force
M = mass 1, generally the mass of the heavier object (kilograms, kg)
m = mass 2, generally the mass of the lighter object
s = distance
ω = angular velocity (radians per second, rad s^-1)
t = time
f = frequency (Hertz, Hz)
v = velocity
r = radius (metres, m)
F = (GMm)/(s^2)
ω = angle / t
ω = angle * f
v = r ω
a = r ω^2
a = (v^2) / r
a = v ω
F = mv ω
(GM)/(r) = (v^2)